目次
この記事では、細胞がエネルギーを産生するために脂肪酸を分解する過程であるβ酸化について詳しく解説します。β酸化の基本的なメカニズム、この過程が持つ生理学的な意味、そしてβ酸化異常による疾患まで、幅広くカバーします。
第1章: β酸化の基本
ベータ酸化(β-酸化)という名前は、この代謝過程において、脂肪酸のβ炭素(アルファ炭素(α炭素)に隣接する炭素)で酸化反応が行われることに由来します。具体的には、脂肪酸の分解過程で、アシルCoA分子のα炭素とβ炭素の間で反応が起こり、2炭素単位で脂肪酸が短縮されます。このプロセスは繰り返され、脂肪酸はアセチルCoAへと分解されていきます。
β酸化の概要
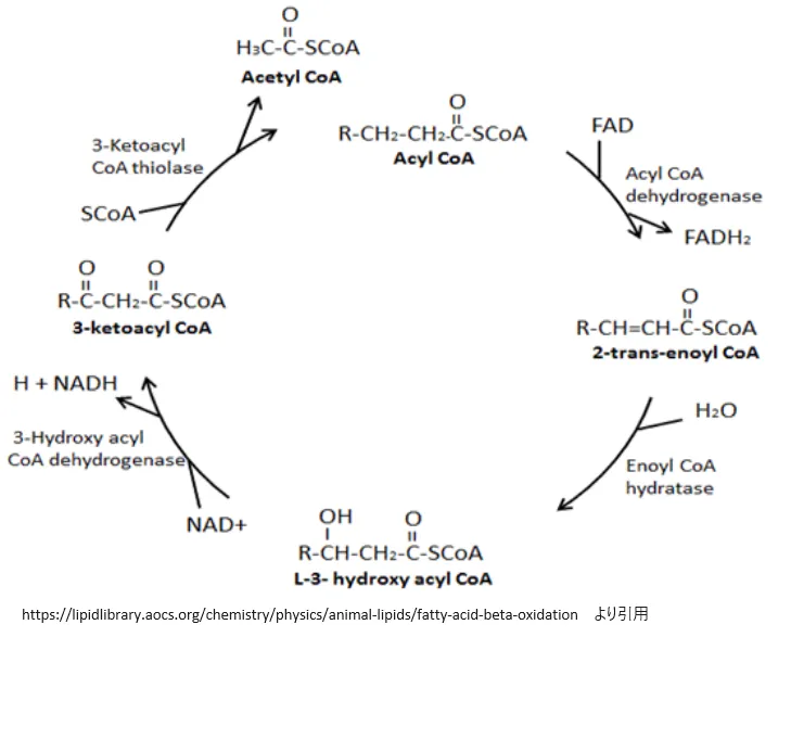
β酸化は、脂肪酸の主要な酸化経路であり、ミトコンドリアやペルオキシソーム内で行われる一連の反応です。この過程では、脂肪酸がアセチルCoAに分解され、エネルギーが生成されます。β酸化は4つの基本的な反応ステップから成り、各ステップは特定の酵素によって触媒されます。以下に、β酸化の生化学的経路、各段階での酵素と補酵素の役割について詳述します。
1. アシルCoAの生成
脂肪酸は、細胞質でアシルCoAシンテターゼによってアシルCoAに変換されます。この反応はATPを消費し、AMPとピロリン酸が副産物として生成されます[1][8]。
2. 脂肪酸のミトコンドリアへの輸送
アシルCoAはミトコンドリア内膜を直接通過できないため、カルニチンアシルトランスフェラーゼI(CPT-I)によってアシル基がカルニチンに転移され、アシルカルニチンが形成されます。アシルカルニチンは内膜を通過し、ミトコンドリア内でカルニチンアシルトランスフェラーゼII(CPT-II)によって再びアシルCoAに変換されます[8]。
β酸化の4つの反応ステップ
1. 脱水素化
アシルCoAデヒドロゲナーゼによって、脂肪酸アシルCoAのβ位の炭素が脱水素化され、トランス-Δ^2-エノイルCoAが生成されます。この反応でFADがFADH2に還元されます[13][14]。
2. 水和
エノイルCoAヒドラターゼによって、トランス-Δ^2-エノイルCoAに水が付加され、L-3-ヒドロキシアシルCoAが生成されます[13][14]。
3. 再度の脱水素化
L-3-ヒドロキシアシルCoAデヒドロゲナーゼによって、L-3-ヒドロキシアシルCoAが脱水素化され、3-ケトアシルCoAが生成されます。この反応でNAD+がNADHに還元されます[13][14]。
4. チオリシス
β-ケトチオラーゼによって、3-ケトアシルCoAからアセチルCoAが切り離されます。この反応で、新たなアシルCoAが生成され、β酸化サイクルが再び始まります。生成されたアシルCoAは、元の脂肪酸よりも2炭素短いものです[13][14]。
● 補酵素の役割
β酸化の過程では、FADとNAD+が重要な補酵素として機能します。これらは、脱水素化反応で電子受容体として働き、FADH2とNADHを生成します。生成されたFADH2とNADHは、電子伝達系に電子を供給し、ATPの生成に寄与します[13][14]。
β酸化は、脂肪酸からエネルギーを効率的に取り出すための重要な代謝経路であり、特定の酵素と補酵素が各段階で特定の役割を果たしています。
β酸化の生化学的経路
β酸化は、脂肪酸の代謝経路の一つで、ミトコンドリア内で行われる一連の反応を指します。この過程では、脂肪酸がアセチルCoAに分解され、エネルギー産生に寄与します。β酸化は主に4つの段階の酵素反応から成り立っています[2][4][7][13][15]。
1. 脂肪酸β位の酸化(脱水素反応)
この段階では、アシルCoAデヒドロゲナーゼが脂肪酸アシルCoAのβ炭素にある水素を取り除き、FADを補酵素として使用してFADH2を生成します。この反応により、トランス-Δ^2-エノイルCoAが形成されます[4][13][15]。
2. β位の水和
次に、エノイルCoAヒドラターゼが作用し、トランス-Δ^2-エノイルCoAに水を付加して、L-β-ヒドロキシアシルCoAを生成します[4][13][15]。
3. β位の酸化(脱水素反応)
L-β-ヒドロキシアシルCoAデヒドロゲナーゼがL-β-ヒドロキシアシルCoAから水素を取り除き、NAD+を補酵素として使用してNADHを生成します。この反応により、β-ケトアシルCoAが生成されます[4][13][15]。
4. 開裂(チオリシス)
最後の段階では、β-ケトチオラーゼ(またはチオラーゼ)がβ-ケトアシルCoAをアセチルCoAと新しいアシルCoAに開裂します。新しいアシルCoAは、元の脂肪酸よりも2炭素短くなっており、この新しいアシルCoAは再びβ酸化のサイクルに入ります[4][13][15]。
● 酵素と補酵素の役割
β酸化における酵素は、特定の化学反応を触媒する役割を担います。各段階で特定の酵素が特定の基質に作用し、反応を進行させます。補酵素は、これらの酵素の活性を助けるために必要な非タンパク質成分で、反応中に一時的に変化することで酵素の機能を支援します。FADとNAD+は、β酸化の過程で重要な補酵素であり、それぞれの脱水素反応で電子を受け取り、FADH2とNADHを生成します。これらの還元型補酵素は、後に電子伝達系で使用され、ATPの生成に寄与します[2][4][7][13][15]。
β酸化の反応産物であるアセチルCoAは、トリカルボン酸(TCA)サイクルやケトン体の生成に利用されるほか、FADH2とNADHは酸化的リン酸化においてATPの産生に寄与します[2][7][13][15]。
- 参考文献・出典
-
[2] www.nips.ac.jp/thermalbio/handbook2/1-37.pdf
[3] kotobank.jp/word/%CE%B2%E9%85%B8%E5%8C%96-129454
[4] www.funakoshi.co.jp/contents/65885
[5] www.fujita-hu.ac.jp/~biochem1/ss_glyco2.html
[6] serotec-labo.com/?page_id=1113
[7] www.nutri.co.jp/nutrition/keywords/ch2-4/keyword6/
[8] lpi.oregonstate.edu/jp/mic/%E3%83%93%E3%82%BF%E3%83%9F%E3%83%B3/%E3%83%91%E3%83%B3%E3%83%88%E3%83%86%E3%83%B3%E9%85%B8
[9] e-rec123.jp/e-REC/contents/104/137.html
[10] www.jstage.jst.go.jp/article/kagakutoseibutsu1962/37/7/37_7_443/_pdf
[11] www.jstage.jst.go.jp/article/jos1956/25/12/25_12_822/_pdf
[12] www.sc.fukuoka-u.ac.jp/~bc1/Biochem/fa-syn.htm
[13] www.sc.fukuoka-u.ac.jp/~bc1/Biochem/betaoxid.htm
[14] www.youtube.com/watch?v=4lGcMEXbev8
[15] ja.wikipedia.org/wiki/%CE%92%E9%85%B8%E5%8C%96
[16] www.youtube.com/watch?v=B0LULsVXr80
第2章: β酸化の生理学的重要性
エネルギー産生におけるβ酸化の役割
細胞のエネルギー産生において、β酸化は重要な役割を果たします。β酸化は、ミトコンドリア内で行われる脂肪酸の主要な酸化経路であり、この過程を通じて脂肪酸が分解され、大量のエネルギーが産生されます[14][17]。脂肪酸は、ブドウ糖やグリコーゲンと並んでエネルギー代謝における根幹を担うエネルギー源であり、特に飢餓時や運動時には、糖質やグリコーゲンによるエネルギー供給が充足していない状態で、脂肪酸がエネルギー源として積極的に利用されます[12]。
飢餓時や運動時には、体内のエネルギー需要が増大します。このとき、体内に貯蔵されている脂肪酸が動員され、β酸化を通じてアセチルCoAに分解されます。アセチルCoAは、さらにクエン酸回路(TCAサイクル)に入り、ATPの産生に寄与します。β酸化によって1分子のパルミチン酸からは、129ものATPが産生されることが示されており、これはブドウ糖1分子から産生されるATPの約6倍に相当します[14]。このように、β酸化はエネルギー効率の良い代謝経路であり、特にエネルギー需要が高い状況下での重要性が際立ちます。
また、β酸化はペルオキシソームでも行われ、脂質の分解だけでなく生合成にも関与します。ペルオキシソームにおけるβ酸化は、一次胆汁酸産生やドコサヘキサエン酸(DHA)産生にも寄与することが示されています[18]。これは、β酸化が単にエネルギー産生のためだけでなく、生体内での脂質代謝の多様性を支える役割も担っていることを示しています。
飢餓時や運動時における脂肪酸の利用は、エネルギー産生のために不可欠です。β酸化を通じて脂肪酸から効率良くエネルギーを産生することで、糖質が不足している状況下でも生命活動を維持することが可能になります。このように、β酸化は細胞のエネルギー産生において中心的な役割を果たし、生体のエネルギー代謝における柔軟性と効率性を高める重要なメカニズムです。
β酸化と健康
β酸化は、脂肪酸をアセチルCoAに分解する過程であり、このアセチルCoAはさらにエネルギー産生のためにクエン酸回路(TCAサイクル)に供給されます。β酸化は主にミトコンドリア内で行われ、脂肪酸の主要な酸化経路です。この過程は、身体がエネルギーを効率的に生成し、利用するために不可欠です。β酸化の異常は、多くの健康問題に関連しています。
● β酸化の健康への影響
1. エネルギー産生: β酸化は、身体がエネルギーを産生するために必要なアセチルCoAを供給します。適切なβ酸化がないと、エネルギー不足や疲労感が生じる可能性があります[9]。
2. 代謝性疾患: β酸化経路の異常は、代謝性疾患のリスクを高めます。例えば、中鎖アシルCoA脱水素酵素欠損症(MCADD)はβ酸化サイクルの障害であり、低血糖や代謝性アシドーシスを引き起こす可能性があります[12]。
3. 心臓病: β酸化は心臓で優先的に使用されるエネルギー源であり、心臓の健康にとって重要です。β酸化の異常は、心筋症や心機能障害のリスクを高める可能性があります[12]。
4. 肥満と体重管理: β酸化は脂肪酸の分解に関与しているため、肥満の予防や体重管理にも影響を与えます。中鎖脂肪酸はβ酸化を通じて迅速にエネルギーに変換されるため、体脂肪蓄積の抑制に役立つ可能性があります[14]。
● β酸化の維持の重要性
β酸化の適切な維持は、エネルギー産生、代謝の健全性、心臓の健康、体重管理において重要です。β酸化経路の異常は、低血糖、代謝性アシドーシス、心筋症などの健康問題を引き起こす可能性があります。したがって、適切な食事摂取や、必要に応じて医療専門家の指導のもとでの栄養補助が推奨されます。特に、中鎖脂肪酸を含む食品はβ酸化を促進し、エネルギー代謝に有益な影響を与える可能性があります[14]。
β酸化の健康への影響は多岐にわたり、その維持はエネルギー代謝、心臓の健康、体重管理において重要です。適切な栄養摂取と健康的なライフスタイルを通じて、β酸化経路の健全性を保つことが、全体的な健康維持に寄与します。
- 参考文献・出典
-
[9] www.nutri.co.jp/nutrition/keywords/ch2-4/keyword6/
[12] www.msdmanuals.com/ja-jp/%E3%83%97%E3%83%AD%E3%83%95%E3%82%A7%E3%83%83%E3%82%B7%E3%83%A7%E3%83%8A%E3%83%AB/19-%E5%B0%8F%E5%85%90%E7%A7%91/%E9%81%BA%E4%BC%9D%E6%80%A7%E4%BB%A3%E8%AC%9D%E7%96%BE%E6%82%A3/%CE%B2%E9%85%B8%E5%8C%96%E7%B5%8C%E8%B7%AF%E3%81%AE%E7%95%B0%E5%B8%B8
[14] www.jcam-net.jp/data/pdf/10008.pdf
第3章: β酸化異常と疾患
β酸化の代謝異常
β酸化の代謝異常は、脂肪酸β酸化に関与する酵素や担体の遺伝的な異常により、脂肪からエネルギーを作り出す過程が障害される疾患群です。これにより、エネルギー不足に陥り、様々な症状や障害が生じます[3][9].
● 主な症状
β酸化の代謝異常によって生じる主な症状には以下のものがあります:
– 低血糖: 脂肪からのエネルギー産生が不十分なため、特に飢餓時に低血糖を引き起こすことがあります[6][9].
– 筋痛: 筋肉でのエネルギー産生障害により、筋痛や筋力低下が生じることがあります[6][9].
– アシドーシス: 代謝産物の蓄積により、代謝性アシドーシスが生じることがあります[10].
– 意識障害やけいれん: 特に新生児期や乳幼児期に発症する場合、意識障害やけいれんが見られることがあります[11].
– 心筋症: 心臓でのエネルギー産生障害により、心筋症や心不全が生じることがあります[11].
– 肝障害: 肝臓でのエネルギー産生障害により、肝腫大や肝機能障害が生じることがあります[11].
● 疾患例: 中鎖アシルCoA脱水素酵素欠損症(MCADD)
中鎖アシルCoA脱水素酵素欠損症(MCADD)は、β酸化の代謝異常の一例で、中鎖脂肪酸を代謝するMCAD酵素の欠損により生じます[1][4]. この疾患は、特に3〜4歳以下の小児において、感染や飢餓を契機に急性脳症様/ライ様症候群様の症状を呈することが知られています[1]. 発症すると死亡率が高く、乳幼児突然死症候群(SIDS)の一因としても知られていますが、無症状で成人に達する例も存在します[1]. 新生児マススクリーニングで発見されれば、飢餓を避ける食事指導でほぼ完全に発症予防が可能です[1][4].
MCADDの疫学としては、欧米白人では頻度が高い(1万人に1人)が、日本では約13万人に1人と推定されています[4]. 症状としては、新生児期にけいれん、意識障害、呼吸障害、心不全などで急性発症する新生児期発症型、乳児期以降に感染や長時間の飢餓を契機に、筋力低下、肝腫大(脂肪肝)、急性脳症様/ライ様症候群様発作、乳幼児突然死症候群(SIDS)などで発症する乳幼児発症型、稀ではあるが、中枢神経障害、骨格筋障害、肝障害、心筋障害などで学童期以降に発症する遅発型があります[4].
診断には、血中アシルカルニチン分析や尿中有機酸分析、酵素活性測定、イムノブロッティング、遺伝子解析などが用いられます[11][12]. 特にACADM遺伝子の変異が責任遺伝子として知られており、遺伝子解析によって確定診断が行われます[12].
Citations:
[1] jsimd.net/pdf/guideline/18_jsimd-Guideline_draft.pdf
[2] jsimd.net/pdf/nakamura/F7.pdf
[3] www.shouman.jp/disease/details/08_03_049/
[4] www.shouman.jp/disease/details/08_03_045/
[5] plaza.umin.ac.jp/~pmd/iden_guidance13.html
[6] hidamari-tanpopo.main.jp/fatty-acid-oxidation.html
[7] www.nanbyou.or.jp/entry/790
[8] www.msdmanuals.com/ja-jp/%E3%83%9B%E3%83%BC%E3%83%A0/23-%E5%B0%8F%E5%85%90%E3%81%AE%E5%81%A5%E5%BA%B7%E4%B8%8A%E3%81%AE%E5%95%8F%E9%A1%8C/%E9%81%BA%E4%BC%9D%E6%80%A7%E4%BB%A3%E8%AC%9D%E7%96%BE%E6%82%A3/%E8%84%82%E8%82%AA%E9%85%B8%E9%85%B8%E5%8C%96%E7%95%B0%E5%B8%B8%E7%97%87
[9] jsimd.net/pdf/nakamura/F0_1.pdf
[10] www.msdmanuals.com/ja-jp/%E3%83%97%E3%83%AD%E3%83%95%E3%82%A7%E3%83%83%E3%82%B7%E3%83%A7%E3%83%8A%E3%83%AB/19-%E5%B0%8F%E5%85%90%E7%A7%91/%E9%81%BA%E4%BC%9D%E6%80%A7%E4%BB%A3%E8%AC%9D%E7%96%BE%E6%82%A3/%CE%B2%E9%85%B8%E5%8C%96%E7%B5%8C%E8%B7%AF%E3%81%AE%E7%95%B0%E5%B8%B8
[11] www.shouman.jp/disease/instructions/08_03_045/
[12] mgen.ncgm.go.jp/disease/8
[13] www.jstage.jst.go.jp/article/iryo1946/49/9/49_9_741/_article/-char/ja/
[14] www.jsms.gr.jp/download/guidebook_c.pdf
[15] www.niph.go.jp/wadai/mhlw/1991/h0313063.pdf
[16] www.nanbyou.or.jp/entry/587
[17] syoni.hiroshima-u.ac.jp/hiroped/nbs/msms_files/NBSinfo_FAD.pdf
異常β酸化の診断と治療
異常β酸化は、脂肪酸をエネルギーとして利用する過程であるβ酸化経路に障害が生じることによって起こる代謝異常症です。この状態は、脂肪酸代謝異常症の一部として分類され、エネルギー産生の障害、低血糖、筋肉障害、心筋障害などの様々な臨床症状を引き起こす可能性があります。
● 異常β酸化の診断方法
異常β酸化の診断には、主に以下の方法が用いられます。
1. 血中アシルカルニチン分析:血液中のアシルカルニチンのプロファイルを分析することで、特定の脂肪酸代謝異常症を識別することができます[10]。
2. 尿中有機酸分析:尿中に排泄される有機酸のパターンを分析することで、β酸化経路の異常を示唆する特定の代謝物の増加を検出します[10]。
3. 遺伝子解析:特定の遺伝子変異を直接検出することで、異常β酸化を引き起こす遺伝性代謝疾患を確定診断します[10]。
4. 酵素活性測定:末梢血リンパ球や培養皮膚線維芽細胞を用いて、β酸化経路に関与する特定の酵素の活性を測定します[10]。
● 現在利用可能な治療法とその展望
異常β酸化の治療は、主に症状の管理と合併症の予防に焦点を当てています。
1. カルニチンの補給:カルニチンは、脂肪酸のミトコンドリアへの輸送に必要な物質であり、カルニチンの補給は、脂肪酸代謝異常症の一部の患者に有効です[13][17]。
2. 食事療法:高炭水化物・低脂肪の食事や、中鎖脂肪酸を含む食品の摂取が推奨されます。これにより、長鎖脂肪酸の代謝に依存しないエネルギー源を提供します[11]。
3. 絶食の回避:長時間の絶食を避けることで、低血糖や代謝性アシドーシスのリスクを減少させます。必要に応じて、夜間にコーンスターチを利用することもあります[11]。
● 展望
異常β酸化の治療法の展望には、遺伝子治療や新たな薬剤の開発が含まれます。これらのアプローチは、根本的な代謝異常を修正することを目指していますが、現在のところ、これらの治療法は研究段階にあり、臨床応用には至っていません。今後の研究により、異常β酸化の治療法の選択肢が拡大することが期待されます。
- 参考文献・出典
-
[10] www.shouman.jp/disease/instructions/08_03_045/
[11] www.msdmanuals.com/ja-jp/%E3%83%97%E3%83%AD%E3%83%95%E3%82%A7%E3%83%83%E3%82%B7%E3%83%A7%E3%83%8A%E3%83%AB/19-%E5%B0%8F%E5%85%90%E7%A7%91/%E9%81%BA%E4%BC%9D%E6%80%A7%E4%BB%A3%E8%AC%9D%E7%96%BE%E6%82%A3/%CE%B2%E9%85%B8%E5%8C%96%E7%B5%8C%E8%B7%AF%E3%81%AE%E7%95%B0%E5%B8%B8
[13] www.ncchd.go.jp/scholar/research/section/screening/NBSinfo_FAD_NCCHD.pdf
[17] syoni.hiroshima-u.ac.jp/hiroped/nbs/msms_files/NBSinfo_FAD.pdf
第4章: β酸化の研究動向
最新のβ酸化研究
β酸化は脂肪酸を酸化してエネルギーを産生する重要な代謝経路であり、最近の研究ではこの経路の新たな知見が明らかにされています。以下は、β酸化に関する最新の研究成果と進展です。
– 脂肪酸β酸化活性の蛍光定量試薬の開発: 九州大学の研究グループにより、生細胞における脂肪酸β酸化活性を蛍光イメージングするための蛍光プローブ「FAOBlue®」が開発されました。このプローブは、培地に添加するだけで脂肪酸β酸化活性を定量可能にし、がんや非アルコール性脂肪性肝炎(NASH)などの疾患研究に応用できるとされています[1][8][17].
– オートファジーによる脂肪酸代謝制御の仕組みの解明: 順天堂大学の研究グループは、オートファジーによって核内受容体コリプレッサー1(NCoR1)の分解が脂肪酸酸化を誘導するメカニズムを解明しました。オートファジー不全は脂肪酸酸化の抑制とケトン体の産生低下を引き起こすことが示され、オートファジーの新たな細胞生理機能の発見につながりました[2].
– ペルオキシソームの動態と機能制御研究の新展開: ペルオキシソームは極長鎖脂肪酸のβ酸化を含む多様な代謝機能を有する細胞小器官であり、その形成に必須な機能や動態に関する研究が進展しています[16].
– β酸化によるC24:6からC20:5への推定生合成中間体関連研究: 不飽和脂肪酸のβ酸化に関与するΔ3,Δ2-エノイル-CoAイソメラーゼに関する生化学的研究が行われており、HNF4αと不飽和脂肪酸の置換基に関する新たな知見が提供されています[13].
– 網膜ミューラー細胞における脂肪酸β酸化系の存在意義に関する研究: 網膜ミューラー細胞における脂肪酸β酸化の栄養代謝能に関する研究が行われ、その存在意義についての理解が深まっています[12].
これらの研究は、β酸化経路の理解を深め、疾患メカニズムの解明や新たな治療法の開発に貢献する可能性を秘めています。特に、生細胞での活性測定が可能になったことは、研究の進展に大きな影響を与えると考えられます。
- 参考文献・出典
-
[1] www.funakoshi.co.jp/contents/65885
[2] www.juntendo.ac.jp/news/02829.html
[3] www.yodosha.co.jp/jikkenigaku/keyword/1579.html
[4] www.nips.ac.jp/thermalbio/handbook2/1-37.pdf
[5] dictionary.goo.ne.jp/word/%CE%B2%E9%85%B8%E5%8C%96/
[6] seikagaku.jbsoc.or.jp/10.14952/SEIKAGAKU.2022.940159/data/index.html
[7] www.jstage.jst.go.jp/article/kagakutoseibutsu1962/37/7/37_7_443/_pdf
[8] www.amed.go.jp/news/seika/kenkyu/20200310.html
[9] www.nutri.co.jp/nutrition/keywords/ch2-4/keyword6/
[10] www.sc.fukuoka-u.ac.jp/~bc1/Biochem/betaoxid.htm
[11] photosyn.jp/pwiki/
[12] kaken.nii.ac.jp/ja/grant/KAKENHI-PROJECT-23792018/
[13] core.ac.uk/download/pdf/230086283.pdf
[14] www.youtube.com/watch?v=YLq6Vvi2Fr4
[15] www.jstage.jst.go.jp/article/suisan1932/45/2/45_2_211/_pdf
[16] seikagaku.jbsoc.or.jp/10.14952/SEIKAGAKU.2023.950719/index.html
[17] kaken.nii.ac.jp/ja/file/KAKENHI-PROJECT-17K14518/17K14518seika.pdf
[18] ja.wikipedia.org/wiki/%CE%92%E9%85%B8%E5%8C%96
[19] seikagaku.jbsoc.or.jp/10.14952/SEIKAGAKU.2020.920632/data/index.pdf
[20] core.ac.uk/download/pdf/235953445.pdf
β酸化研究の未来
β酸化は、脂肪酸からアセチルCoAを生成する代謝反応であり、心臓のエネルギー源として重要な役割を果たしています[19]。β酸化の研究は、メタボリックシンドローム(MS)の予防・改善を目指し、β酸化調節(阻害)因子アセチルCoAカルボキシラーゼ2(ACC2)の作用抑制に関する研究が進められています[16]。また、β酸化の逆反応を利用して、炭素数の大きい脂肪酸を生成する研究も行われており、乳酸からピルビン酸に酸化され、次にアセチルCoAを生成するプロセスが研究されています[18]。
将来のβ酸化研究の方向性としては、以下の点が考えられます。
1. 疾患治療への応用: β酸化の制御メカニズムの解明は、心臓病やメタボリックシンドロームなどの疾患治療に応用される可能性があります。特に、β酸化を促進または抑制することで、これらの疾患の治療法開発につながる可能性があります[16][19]。
2. 新規代謝経路の開発: β酸化の逆反応を利用した新規代謝経路の開発は、バイオテクノロジー分野での応用が期待されます。乳酸などの基質から高価値の脂肪酸を効率的に生産する技術の開発が進むことで、医薬品原料や機能性材料の生産に貢献する可能性があります[18]。
3. オートファジーとの関連性の解明: 栄養飢餓に応じて脂肪酸酸化を抑制するメカニズムの解明は、オートファジーとの関連性を示唆しています。オートファジーによる脂肪酸代謝制御の仕組みのさらなる解明は、細胞のエネルギー代謝や疾患治療に関する新たな知見をもたらす可能性があります[20]。
4. エネルギー代謝の理解の深化: 心臓や他の組織におけるβ酸化の役割のさらなる理解は、エネルギー代謝全体の理解を深めることにつながります。これにより、エネルギー代謝異常に基づく疾患の予防や治療に向けた新たなアプローチが開発されることが期待されます[19]。
β酸化研究の未来は、疾患治療、バイオテクノロジー、細胞生物学の各分野において重要な役割を果たすことが予想されます。これらの研究が進むことで、新たな治療法の開発や産業応用につながる可能性があります。
- 参考文献・出典
-
[16] kaken.nii.ac.jp/ja/grant/KAKENHI-PROJECT-18K17974/
[17] xtech.nikkei.com/atcl/nxt/news/18/14961/?P=2
[18] www.jstage.jst.go.jp/article/kagakutoseibutsu/61/4/61_610401/_pdf/-char/ja
[19] www.riken.jp/press/2022/20221021_1/index.html
[20] prtimes.jp/main/html/rd/p/000000103.000021495.html





